0898-08980898
浏览次数: 时间:2026-01-28 05:13:29
人类已经在实验室通过托卡马克装置实现了10 MW量级的可控氘氚核聚变反应,磁约束聚变研究进入到了实验堆时代。托卡马克高约束稳态运行成为开发商用聚变能的关键。中国全超导托卡马克装置(东方超环,EAST)瞄准国际热核聚变实验堆(ITER)和未来聚变堆稳态运行的需求,在前沿稳态物理研究中获得重要进展,率先演示了托卡马克高约束稳态模式的长脉冲运行,为ITER运行和未来聚变堆设计提供了重要参考。
氢的两种同位素氘(D)和氚(T)在一定条件下会发生核反应,一个D核和一个T核聚合生成较重的氦离子,放出一个中子,释放出17.6 MeV的能量(图1(a)),不论是反应物还是生成物都几乎没有放射性。D在海水中的含量极为丰富,T可以采用中子轰击锂的同位素6Li获得,在地球上(特别在海洋中)储量也很大。从这个意义上,聚变能可以说是取之不尽、用之不竭的。另外,与裂变能和化石能源相比,对环境也比较友好。基于氘氚反应的核聚变能被认为是一种安全、高效、清洁的新能源,它既可以支撑人类经济增长对能源的需求,又不会带来次生的社会问题。
图1 (a)氘氚聚变反应过程示意;(b)托卡马克磁体部件及内部磁场[1]
磁约束聚变是指利用高温等离子体中带电粒子在磁场中做回旋运动的特点,利用强磁场将等离子体约束在真空室内,使等离子体可控地发生大量原子核聚变反应,释放能量。当氘氚等离子体的密度、离子温度、能量约束时间的乘积满足劳森判据n0TiτE ≥1×1021 keV·s/m3时,聚变产生的功率大于外部的加热功率输入,即可产生净功率输出,这里考虑了杂质辐射和燃料浓度等条件。磁约束核聚变的实现途径主要有托卡马克、仿星器、磁镜和箍缩装置等。在多个磁约束途径中,托卡马克因具有最优的等离子体约束性能而发展最快。磁约束聚变研究大体上分为六个阶段,分别是原理性研究阶段、规模实验阶段、氘氚燃烧实验阶段、反应堆工程物理实验阶段、示范反应堆阶段、商用化反应堆阶段。目前,以托卡马克为代表的磁约束聚变研究已处于氘氚燃烧实验向反应堆工程物理实验的转折期。
图1(b)展示了托卡马克的磁体构成和真空室,纵场线圈产生环向强磁场,是约束高温等离子体最主要的磁场分量,中心螺管主要用于感应产生和维持等离子体电流,外部极向场线圈主要用于等离子体平衡控制。环向磁场和等离子体电流产生的极向磁场构成了“面包圈”形状的沿环向螺旋的磁笼子,将高温等离子体约束在磁笼子内,避免等离子体与真空室壁的直接接触。
20世纪90年代,托卡马克约束途径获得了重要突破。欧盟的欧洲联合环(JET)、美国的托卡马克聚变试验反应堆(TFTR)两个大装置上都开展了氘氚实验,聚变输出功率分别超过16 MW和10 MW。日本的JT-60U装置创造了氘等离子体参数的世界记录:聚变增益因子Q(聚变功率与外部输入功率之比)等效值超过1.25,离子温度最高达5.2亿摄氏度,极大超过氘氚聚变反应达到点火(约1.5亿摄氏度)的要求[1]。这些进展证实了在托卡马克上实现氘氚聚变的原理可行性,但受限于装置条件,这些高参数等离子体维持的时间很短,一般不超过10秒。
托卡马克上取得的突破使聚变界受到巨大的鼓舞。好比莱特兄弟发明的“飞行者一号”,尽管在首次试飞中仅飞行了12秒,飞行距离也只有短短的36米,但它拉开了人类动力航空史的帷幕,从此实现了人类文明从两维空间向三维空间的跨越。同样地,科学家们坚信,如果托卡马克内的聚变可以维持几秒钟,那么理论上通过优化后的聚变堆可以持续运行,进而深刻改变现有的能源格局。然而,传统托卡马克装置中利用铜材料绕制而成的线圈通电时会发热,不能长脉冲运行。
在这种背景下,国际各方提出共同建造一个尺寸更大,参数更高的全超导托卡马克装置,即国际热核聚变实验堆(International Thermonuclear Experimental Reactor,ITER),预计将于2035年建成投入运行。ITER将首次通过高约束等离子体稳态运行,在数百兆瓦功率水平上验证磁约束聚变作为能源的可行性,并研究稳态燃烧等离子体相关的科学问题[2]。ITER是仅次于国际空间站的第二大国际科技合作项目,也是中国参加的最大的国际科技合作项目。它能否实现高约束稳态运行备受瞩目,是磁约束聚变迈向能源开发进程的关键一步。
然而高约束稳态运行不仅是采用全超导磁体这么简单,其面临的是更为复杂的物理挑战,ITER能否实现高约束稳态运行在磁约束聚变界仍是一个开放性的一级课题。为了给ITER探路并掌握关键技术,我国自主建设了世界上第一台全超导托卡马克实验装置——东方超环(Experimental Advanced Superconducting Tokamak,EAST,图2),并于2007年正式投入运行,其历史使命是解决与高约束稳态运行相关的关键物理和工程技术问题[3]。EAST作为ITER稳态物理最重要的演兵场,经过了17年的实验,攻克了一个又一个科学难题,在非感应电流驱动、约束改善和维持、边界不稳定性控制、偏滤器稳态高热负荷缓解、粒子再循环控制等前沿稳态物理方面取得突破,发展了面向未来聚变堆的托卡马克高约束稳态运行模式,为ITER运行和未来聚变堆设计提供了重要参考。
传统托卡马克采用变压器原理,依靠中心螺管的磁通变化驱动环向等离子体电流并加热等离子体,在当今大中型装置中,仅靠电流加热只能将等离子体加热到中心电子温度最高约3 keV,不足以使等离子体达到氘氚聚变点火条件(10—20 keV)。更重要的是,因为中心螺管提供的磁通(伏秒数)是有限的,感应电流维持的时间也是有限的,原理上不能实现稳态运行。稳态运行时要求非感应电流份额达到100%,而非感应电流主要通过外部驱动和等离子体自身压力梯度驱动的自举电流产生。核聚变研究的最终目标是建立稳定的、连续运行的聚变堆,传统托卡马克的欧姆加热和感应电流驱动并不满足这一要求,因此必须考虑辅助加热和非感应电流驱动。一般来说,主要包括射频波(RF)和中性束(NBI)两种加热途径,如图3(a)所示。
图3 (a)托卡马克中主要的等离子体加热手段,包括欧姆加热、射频波加热以及中性束加热等;(b)射频波的主要分类及特点
在磁约束聚变领域从几十MHz的射频波频段到几百GHz的微波频段统称为射频波。射频波注入到等离子体中时,合适的波频率、极化方向会产生波—粒子间的相互作用,当相互作用过程在粒子速度分布上正负对称时产生等离子体加热效应,非对称时则兼具电流驱动效应。射频加热主要包括以下三种:离子回旋共振加热(ICRH)、电子回旋共振加热(ECRH)和低杂波电流驱动加热(LHCD)。这三种加热方式对应的波源频率有非常大的差异,其主要特点如图3(b)所示。
ICRH将高频电场发射到等离子体中,调整其频率以匹配离子在磁场中的回旋频率,离子不断地从回旋波中得到能量,并通过相互碰撞传递给背景等离子体,主要机制为回旋阻尼。ECRH加热机制也是回旋阻尼,只不过其电场回旋频率匹配的是电子回旋频率。LHCD的工作频率和日常使用的微波炉工作频率接近,其加热机制和上面两种不同,它利用相控天线在边缘激发一支向等离子体内部传播的准静电波,电场方向与磁场方向近似平行,当粒子平行于波场的热速度与波相速度接近时,波就会在平行方向将能量和动量传递给共振电子(即朗道阻尼),驱动等离子体电流。由于这些共振电子(或快电子)与本底等离子体的碰撞频率很低且很难被捕获,所以它的电流驱动效率非常高,这是LHCD最大的优点。
国际上主要实验装置采用了中性束为主的加热手段,将加速到很高能量的离子束通过电荷交换变成高能中性粒子束,然后穿越磁场注入到等离子体中,这与未来ITER中电子加热为主、低动量注入的物理条件不完全相同,并且基于中性束注入实现稳态运行的技术难度也很大。EAST瞄准未来聚变堆稳态运行的需求,发展了射频波为主的等离子体加热和非感应电流驱动手段,研究揭示了射频波加热与非感应电流驱动的关键物理机制,发展出以稳态射频波驱动为主的物理基础和实验技术[4]。
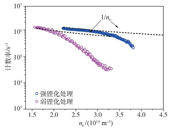
理论研究表明,当注入低杂波(射频特征见图3(b)中的LHCD)的平行折射率N//小于某个临界值时,波场不能在等离子体内传播,即所谓的可近性条件,与波的频率、磁场强度和等离子体密度相关。另一方面,人们发现当等离子体密度大于某个临界值时,低杂波电流驱动效率随密度的下降趋势比理论预言(1/ne)快很多,也就是所谓电流驱动的密度极限。而未来ITER以及反应堆将在极高的密度下运行,高约束等离子体在边界的密度也很高。因此,提升高密度下的低杂波驱动效率具有非常重要的意义,也是目前低杂波电流驱动研究所面临的瓶颈问题。EAST发现边界非线性参量衰变等过程是限制高密度下低杂波电流驱动效率的关键因素,实验中利用锂化壁低再循环条件、电子加热协同、高频低杂波等手段有效地改善了低杂波在高约束、高密度下可近性和电流驱动效率急剧下降的问题(图(4))[5]。
EAST实验发现了一系列射频波对关键等离子体参数分布的调控机制,包括:利用射频波实现了对电子压力分布控制;通过多波协同作用产生局域化的快电子电流通道,应用于电流密度分布的控制[6];发现了低杂波在边界驱动等离子体旋转并为芯部旋转提供动量源,提供了一种基于射频波实现等离子体旋转控制的方法[7]。这些机制为利用射频波对等离子体压力、电流密度、旋转速度等参数剖面的调控提供了重要的途径。
托卡马克等离子体中非线性微观不稳定性在等离子体中激发了湍流。实验发现湍流驱动的输运远大于新经典理论的预测值,严重破坏了等离子体的约束。湍流引起的反常输运是人类开发磁约束聚变能道路上遇到的一个重要障碍。然而,当外部加热功率超过一定阈值时,湍流被突然抑制,托卡马克会从“低约束模式(L模)”向“高约束模式(H模)”转换,并在托卡马克边缘处形成一个台基结构,即边界输运垒[8]。边界输运垒对于托卡马克装置来说相当于保温杯的保温层,它显著降低了粒子和热从主等离子体向外部的输运,从而增强了托卡马克的整体约束性能。不同约束模式的剖面特征如图5所示[9]。
图5 (a)托卡马克极向切面示意图,等离子体被约束在层层嵌套的磁面内,下方阴影区为偏滤器部件;(b)低约束模式、高约束模式的压强剖面特征。高约束模式在边界形成的台基状结构(输运垒)提高了等离子体整体参数,输运垒很高的压强梯度会激发称之为边界局域模(ELM)的不稳定性;(c)英国MAST装置上利用快速可见相机拍摄到边界局域模,像是等离子体表面喷出的“火舌”[9]
高约束模式的出现大大提高了芯部等离子体的温度和密度,在相同的聚变功率下可降低实现聚变自持反应所需的等离子体体积,这使得建造聚变反应堆的尺寸与成本极大降低。ITER是基于高约束模式设计完成的,并将通过高约束模式的运行达到其预期的科学目标,可见高约束模式是磁约束聚变能开发的重要物理基础,然而人们对湍流抑制并触发高约束模式的机制并不完全清楚,制约了高约束的稳态维持。
理论预言中性流体中存在的带状流在磁约束等离子体中同样存在,并可以诱发约束改善。EAST团队在接近“L—H转换”功率阈值的临界加热条件下,在约束模式转换前后都探测到准周期、小幅度的径向电场极限环振荡。观测发现这种小幅度径向电场极限环振荡的实验表象和理论预言的带状流特征高度吻合[10]。EAST实验证实带状流可以通过非线性自组织过程吸收湍流的能量,确认了带状流在湍流抑制过程中的重要贡献。
国际上越来越多的实验证实湍流可以把能量传递给带状流,但带状流并非在“L—H转换”之前突然形成,这无法解释超临界功率下快速的“L—H转换”。要完全揭示高约束模式的形成之谜,需要回答一个关键的核心问题:“L—H转换”过程中边界湍流是怎么被快速抑制的?湍流抑制发生在非常短的时间尺度(百微秒),如何能在这么短的时间尺度内使得湍流被完全抑制?EAST团队针对触发“L—H转换”的物理机制开展了进一步的实验研究,在转换之前的几十毫秒,发现湍流结构朝着一个方向出现有序的倾斜和扭曲,如图6所示。这使得湍流能量被散射到小尺度(高波数空间);在小尺度,耗散机制吸收了湍流的能量,使得湍流水平得到抑制[11]。参与径向力平衡的平均流剪切在决定“L—H转换”功率阈值上起到了决定性的作用,而非线性自组织驱动的带状流扮演了动态调节的角色。EAST上的实验观测清晰地揭示了多种物理条件下剪切流抑制湍流的物理机制,为“湍流熄灭理论”提供了关键性的实验证据。
图6 (a)在EAST上观测到的“L—H转换”期间湍流径向波束谱移动的实验现象;(b)—(d)湍流结构随时间被平均剪切流逐步扭曲(kr为湍流径向波数,kθ为湍流极向波数)
在实验发现的基础上,科研人员进一步提出了剪切流触发“L—H转换”的新理论模型,从径向输运的角度分析了平均流剪切对H模阈值功率的影响,运用流剪切抑制湍流的判据,解释了形成极限环振荡所需要的负反馈机制。模拟再现了实验上观察到的H模功率阈值与密度等关键参量的定标关系,与多装置实验结果相吻合。通过锂化壁对中性粒子的吸附作用,降低了中性粒子在边界对带状流的碰撞阻尼,使高约束性能得到进一步提升和更为稳定地维持[12]。
高约束模式下边界输运壁垒的形成提升了等离子体的整体约束水平。然而边界输运壁垒也是一把双刃剑,其局部陡峭的压力梯度会驱动剧烈的边界不稳定性,导致边界输运垒发生周期性崩塌,这种周期性边界不稳定性又被称为边界局域模(ELM),如图5(c)所示。如果我们把托卡马克比作人造太阳,边界局域模可以理解为太阳日珥。在ITER和未来聚变堆,ELM带来的瞬态热负荷可能超过装置内壁材料所能忍受的极限,并引起器壁杂质溅射,成为制约高约束等离子体长时间稳态运行的瓶颈问题[13]。
磁约束聚变界目前主要采用的边界不稳定性控制方法是共振磁扰动技术。这种方法需要在真空室装置内部安装大量通电线圈,借助通电线圈在等离子体边界产生扰动磁场,进而通过增强粒子输运减缓边界输运垒的压力梯度。然而,这种方法在实现边界不稳定性控制的同时,等离子体约束性能也会出现不同程度的下降,主要原因在于其产生的随机磁场会渗透到边界输运垒以内,损伤等离子体的整体约束性能。此外,共振线圈空间结构复杂,在聚变中子辐照下线圈材料性能会退化,面临安全技术上的挑战,并且共振线圈对一些等离子体参数(例如磁力线倾角)十分敏感,导致其物理上有效的作用参数区间比较狭窄[14]。磁约束聚变界迫切需要发展出更为理想的边界不稳定性控制方法。
EAST团队通过理论研究提出利用低杂波在等离子体边界驱动电流以改变边界磁拓扑结构的设想,并在实验上获得了成功。如图7所示,EAST科研人员利用低杂波在等离子体边界驱动了沿着磁力线的多条螺旋形电流带,分别对应于低杂波天线的波导口,符合理论模型的预期。当这种螺旋电流带出现时,边界局域模得到明显的抑制[15]。
图7 (a)在EAST上利用可见光相机拍摄的由低杂波(LHW)驱动的边界螺旋电流带;(b)信号自上而下分别是低杂波注入功率、等离子体储能以及靶板上的粒子流,用于边界局域模脉冲信号表征
与共振磁扰动技术相比,EAST上发现的利用低杂波驱动边界电流来控制边界局域模的方法在工程上更简单、经济和容易维护,它不需要庞大而复杂的通电线圈作为载体,只需安装在局部位置的波导便可实现。在物理上,低杂波引起的螺旋电流带总是沿着磁力线方向延伸,它产生的磁扰动会在等离子体边界有理面上产生较好的共振效应,对等离子体芯部的约束性能影响小。这一科学发现为未来聚变堆条件下的边界不稳定性控制问题展示了一种更为可行和有效的解决途径[16]。
除了边界局域模的主动控制手段,EAST还探索发展了多种小或无边界局域模的运行模式,在与未来聚变堆类似的金属壁、低旋转、电子主导加热等物理条件下,EAST稳定重复地实现了具有杂草型小幅度边界局域模(grassy ELM)的高性能H模的长脉冲运行。这种小幅度ELM带来的瞬态热负荷通常低于常规大幅度ELM的1/20(图8)。EAST通过实验明确了获得这一模式的物理条件,揭示了其形成机制[17],并验证了它与辐射偏滤器、高密度、高自举电流份额、完全非感应驱动等未来稳态聚变堆特需条件的兼容性。这一运行模式为解决聚变堆瞬态热负荷瓶颈问题,实现聚变堆的稳态运行提供了一种潜在的新方案[18]。
图8 标准大幅度边界局域模 (a)和杂草型小幅度边界局域模(b)在偏滤器靶板上的峰值热通量
偏滤器(divertor)是现代托卡马克中至关重要的组成部件,图5(a)下部展示了其典型结构,它主要用于收集并排除从等离子体中输运出来的粒子流和热流。在未来聚变反应堆中,从等离子体中输运出来的巨大能量,会沿着开放的磁力线沉积到偏滤器靶板材料表面,侵蚀材料,缩短材料的使用寿命;并且产生大量杂质污染芯部等离子体,破坏等离子体的约束,使得核反应条件难以稳定维持。另外,未来聚变堆是核环境,装置内部的所有操作只能通过遥控机器人进行。偏滤器靶板一旦损坏,只能停堆更换。频繁地停堆维修,对于一个商业核电站来说降低了能源的经济性,是不能接受的。
在ITER及未来聚变堆,偏滤器靶板上的稳态热负荷超过了面向等离子体部件的材料所能承受的极限。ITER偏滤器靶板的稳态热负荷可达50 MW/m2,未来聚变示范堆(DEMO)可达300 MW/m2,远超过火箭引擎的热流强度。目前最好的耐高温靶板材料——钨,能够承受的稳态热通量只有10 MW/m2。受到技术水平的限制,目前偏滤器靶板冷却系统的热排除能力只有约10—20 MW/m2。因此必须发展出有效的方法,在这些热流到达偏滤器靶板表面之前,让热能沉积在更大面积的分散热负荷上,或者通过辐射等方式把能量带走。
图9 偏滤器热流辐射反馈控制策略 (a)偏滤器靶板温度及其控制目标量(红色);(b)偏滤器区辐射信号AXUV59,红色为控制目标设置,黑色为实验测量,蓝色为氖气注入信号,4.5 s后实验测量与控制目标基本一致;(c)从等离子体储能WMHD与能量约束因子H98,y2可以看出,等离子体约束性能基本不变
EAST在实验中发展了准雪花偏滤器位型[19]和鱼尾偏滤器[20]等,通过改变偏滤器磁拓扑结构来分散热流,并展宽靶板的热流沉积宽度。除了对等离子体磁位型的考虑外,从物理过程出发,使偏滤器等离子体脱靶运行是缓解靶板热流非常有效的方法[21]。当增加偏滤器区域的气体密度(反应气体或杂质气体),偏滤器区域的辐射会显著增强,输运到偏滤器处的等离子体的动量、能量和粒子数量产生明显的损失,使得热流和粒子流“脱离”靶板。EAST开展了系统的脱靶实验,并探索了多种脱靶反馈控制新方法,如图9所示,利用靶板探针测量的电子温度来判别偏滤器是否进入部分脱靶状态,然后等离子体控制系统利用等离子体的辐射量热等信号进行脱靶反馈控制[22],实验验证了该反馈控制方法与小幅度边界局域模运行模式的兼容性。利用等离子体储能进行叠加反馈,维持了约束,并找到了脱靶情况下约束改善的新方法[23],实现了偏滤器脱靶与芯部高约束的长时间维持,为EAST在高功率加热下实现高性能长脉冲运行提供了必要条件,演示了偏滤器稳态热流控制的新方案。
等离子体轰击托卡马克第一壁表面之后,一部分粒子会再次返回等离子体,而且第一壁表面在被轰击后可能会有部分滞留粒子解吸而进入等离子体,形成粒子再循环。粒子再循环一方面对等离子体具有显著的加料作用,另一方面,相比于等离子体的能量,从壁表面反射或解吸的粒子的能量极低,粒子再循环对边界等离子体产生强烈的冷却作用。粒子再循环对等离子体的加料和冷却的双重作用,会改变等离子体的温度和密度分布,降低等离子体的约束性能,甚至触发破裂。粒子再循环问题是制约稳态运行的关键科学问题之一。
图10 (a)EAST上的锂化壁处理手段;(b)锂壁吸附边界中性粒子示意
长脉冲运行的后期会出现壁饱和问题,粒子再循环系数超过1,即从器壁上返回到主等离子体的粒子数超过主等离子体输运到器壁上的粒子数,导致等离子体密度不可控地增长。要维持高约束H模达到壁饱和时间尺度必须发展主动粒子控制技术,使得在壁丧失抽气能力时,从等离子体中输运出来的粒子仍然能够被排出去。EAST托卡马克装置发展了锂化壁处理手段(图10),通过环向均匀分布的锂化坩埚系统,成功实现了第一壁95%的锂涂覆[24];通过锂膜的“吸附”,显著降低了粒子再循环水平以及杂质含量;发展了实时锂粉注入技术,实现了长脉冲放电过程中锂膜的实时更新,同时结合偏滤器内置低温泵的强大抽气能力,控制偏滤器区域的中性粒子密度[25],显著降低了边界的粒子再循环,将粒子再循环系数稳定控制到1以下,为EAST装置实现稳态运行提供了低再循环的重要条件。
稳态运行将显著提高聚变堆的经济性,因为不仅能极大地提高运行的占空因子,而且可减小因热和机械脉冲载荷所引起的材料疲劳损伤,因而ITER设计把实现稳态聚变燃烧作为其物理目标之一。为了提高聚变堆运行的安全性和经济性,国际主流的托卡马克装置均将稳态运行模式的发展作为一项重要的研究方向。
如前所述,为了实现托卡马克稳态运行,必须尽可能地提高非感应电流的份额,取代极向场变化引起的感应电流。如果要实现完全非感应电流,原则上不断增加外部驱动功率就能实现,但对于商用堆其经济成本是无法承受的,因为外部加热和电流驱动非常昂贵。幸运的是,一些先进运行模式下等离子体自身产生的自举电流可提高到50%以上,减少对外部驱动的依赖,但这同时会增加对等离子体参数调控的技术难度,需要将两者进行权衡。好比当前火爆的新能源汽车市场,推出了纯电、增程、插混等多种模式,本质上是经济成本、技术难度、综合性能之间的博弈和平衡。对于商用聚变堆而言,经济的、稳态运行的聚变堆要求燃烧等离子体同时具有高约束、高比压、高自举电流份额和磁流体稳定的性能[26]。
EAST在稳态射频波加热和驱动条件下,发展了高极向比压(等离子体压强与极向磁压的比值)稳态运行模式。在聚变堆低旋转条件下,通过等离子体参数剖面控制形成弱/负磁剪切,获得具有内部输运垒的高性能等离子体[27];内部输运垒的压强梯度又驱动了较高自举电流份额,降低了稳态运行对外部电流驱动的要求;研究发现大密度梯度可增强Shafranov位移对湍流的致稳效应[28],成为提高芯部约束的关键因素;进一步通过调控电流密度分布、拓展稳定运行区、控制芯部杂质辐射等,获得的等离子体归一化参数可接近ITER稳态物理条件。其关键物理原理通过EAST与美国DIII-D装置的联合实验得到了验证,相关成果最近发表在Nature期刊上[29]。对此,国际上另外一个全超导托卡马克装置KSTAR也对高极向比压稳态运行模式进行了跟踪探索,但由于其采用了中性束主导的加热方式,驱动的快离子损失严重,等离子体的约束性能在运行过程中逐步下降,并未实现稳态[30]。
图11 EAST实现403 s高约束长脉冲运行典型(#122254,#122296)的等离子体参数信息:等离子体密度ne与密度极限nGW的比值,能量约束因子H98,极向比压βp和射频注入功率PRF
进一步在集成模型预测的基础上,改善芯部约束和边界稳定性的兼容性,优化等离子体与壁相互作用,发展芯部杂质排除手段,在低动量注入、电子加热、全金属壁等与ITER相似的物理条件下发展出高约束稳态运行模式,不断刷新高约束等离子体运行时间的世界纪录。如图11所示,EAST在2023年度物理实验中获得403 s的稳态高约束等离子体,具有高比压、高密度、高自举电流、完全非感应电流等特征。电子加热主导条件下内部输运垒稳定维持,解决了钨偏滤器运行的粒子与热平衡关键物理和技术问题。此外,在实验中探索并证明了一种新的高能量约束和自组织模式,完成千秒量级时间尺度的实验验证[31]。通过多方面物理和技术集成,EAST在国际上率先示范了基于射频波驱动的托卡马克高约束稳态模式的长时间运行。EAST上取得的成就和积累的科学技术基础对ITER和未来聚变堆提供了重要参考。
磁约束聚变已在欧盟JET和美国TFTR两个托卡马克装置上开展过氘氚实验,在短脉冲时间尺度上获得了聚变功率输出,托卡马克氘氚聚变的原理可行性已经得到认同。为了实现ITER的科学目标和商用聚变能的开发,托卡马克稳态运行成为磁约束聚变研究最为关切的问题。EAST面向ITER和未来聚变堆的需求,解决了非感应电流驱动、约束改善与维持、边界不稳定性控制、偏滤器稳态高热负荷缓解、粒子再循环控制等方面的关键科学问题,发展出面向未来聚变堆的托卡马克稳态运行模式。随着ITER的到来,磁约束聚变研究将进入实验堆时代,聚变物理研究也面临新的机遇和挑战。对氘氚聚变产生的高能量α粒子自持加热、粒子非热平衡效应、波—粒子相互作用非线性自组织等物理过程还缺乏足够的了解,对这些物理的探索可能会形成新的分布参数控制手段,产生新的运行模式。另一方面,基于二代高温超导带材磁体技术的快速发展,有望将托卡马克的磁场强度提高一倍,这将使得装置尺寸大幅度缩小,显著降低聚变堆工程造价,提升聚变堆经济性[32]。
